设为首页 / 添加收藏 / 返回首页
当前位置: 法学园地 -> 信阳审判

申小槌说法 | 字不好看,但话是真心的……

发布时间:2026-04-14 15:12:46





暖心瞬间


锦旗+手写信,藏着最真挚的感谢


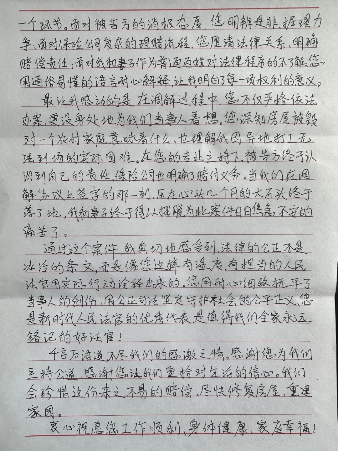
“罗法官,真是太感谢您了!要是没有您,我们家这房子的事,不知道要拖到猴年马月,还省了好几万的鉴定费”







在浉河区法院的大厅里,席某某的家属紧紧攥着李家寨法庭员额法官罗丹丹的手,激动得声音都有些发颤,将一面印着“依法办事,高效清廉”的锦旗递了过去,紧接着,她又从口袋里掏出两封叠得整整齐齐的信递上前:“罗法官,张助理,这是我们两口子手写的感谢信,字不好看,但话是真心的!”

罗丹丹接过信,轻轻拆开,密密麻麻的字迹里,一句“破碎的家园有了重建的希望”,瞬间戳中了人心,也让这场跨越多日的纠纷,有了最温暖的收尾。


意外突至


一声巨响,小院沦为“满目疮痍”











谁也没想到,原本平静的一天,会被一声突如其来的轰隆巨响打破。那天,季某某驾驶车辆时一时操作失误,车子像脱缰的野马,直直撞向了席某某家的小院,墙面瞬间被撞出一个大大的破洞,碎石、尘土簌簌往下掉,好好的房子,转眼就变得“满目疮痍”,狼狈不堪。

回忆起当时的场景,席某某的妻子眼眶依旧红红的,语气里满是委屈:“好好的房子突然就被撞坏了,下雨天漏雨,墙体也越来越松,我们一家老小连住都不敢住,整天提心吊胆的,不知道该怎么办才好。”


陷入僵局


三方各执一词,赔偿之路难上加难













本以为只是一场简单的交通事故赔偿,协商一下就能解决,可席家万万没想到,这一谈,就陷入了“僵局”,三方各执一词,谁也不肯让步。

席家急得像热锅上的蚂蚁,就想尽快拿到赔偿,把房子修好

可肇事方季某某却一脸无奈,连连摆手:“我买了商业三者险,按说该保险公司赔,我就是个普通老百姓,实在没那么多钱垫付啊!”

而保险公司那边,给出的说法却截然相反:“季某某擅自改变了车辆使用性质,按照保险条款,我们不承担赔偿责任!”

三方你来我往,谈了一轮又一轮,吵得面红耳赤,却始终没个定论。更让席家犯难的是,要确定赔偿数额,必须先对受损房屋做修缮方案和费用评估,可这鉴定费一听就傻了眼——要三到四万元!

“我们就是普通农户,一下子拿出这么多钱垫付鉴定费,根本承受不起啊!”席某某的妻子急得整夜睡不着觉,找到罗丹丹法官时,忍不住红了眼眶,声音哽咽着求助:“罗法官,房子长时间修不好,村里人还在背后议论,我们真的走投无路了,您帮帮我们吧!”


温情调解


法官当“和事佬”,融化三方坚冰


看着席家的无助,听着三方的诉求,罗丹丹决心帮大家解开这个心结。她静下心来,一次次给三方打电话,耐心倾听每个人的难处:听席家诉说房屋漏水、无法居住的焦虑,听季某某诉说无力垫付赔偿的窘迫,听保险公司讲解保险条款的规定。

后来,罗丹丹又一次次组织三方坐到调解室里,用老百姓能听懂的语言,把相关的法律条款一条条讲明白,把鉴定的流程、费用的负担,一点点分析透彻。“大家坐在这里,不是为了争个输赢,而是为了解决问题。”“席家想修房子,季家不想多花钱,保险公司有自己的规定,咱们换位思考,各退一步,总能找到解决办法。”

就这样,一次次沟通,一遍遍劝解,罗丹丹帮席家分析房屋修缮的最低成本,帮季家沟通保险公司的赔偿边界,帮保险公司梳理条款细节,慢慢的,三方的态度都软了下来。最终季某某愿意承担部分费用,保险公司也同意在合理范围内承担赔偿责任,席家也不再执着于高额赔偿,只希望能尽快修好房子。

当三方最终在调解协议上签字的那一刻,席某某的妻子长长舒了一口气,脸上终于露出了久违的笑容。“终于能修房子了,再也不用被这件事折磨了,太感谢罗法官了!”

这场纠纷,没有高额的鉴定费,没有漫长的诉讼流程,没有针锋相对的争执,只有法理的公正和人情的温暖。而那面“依法办事,高效清廉”的锦旗和两封手写信,不仅是当事人对罗法官的感谢,更是浉河法院践行新时代“枫桥经验”,用温情司法守护百姓安宁的最好见证。

(浉河区法院供稿)


关闭窗口

地址:信阳市羊山新区新五大道和新二十六街交叉口(东北处)   邮编:46400  


Copyright©2026 All right reserved  河南省高级人民法院版权所有   豫ICP备12000402号-2